中国汽车工程师之家--聚集了汽车行业80%专业人士 

论坛口号:知无不言,言无不尽!QQ:542334618 

本站手机访问:直接在浏览器中输入本站域名即可 

  • 4622查看
  • 21回复

[转向] 电动助力转向系统助力特性的仿真分析

[复制链接]


该用户从未签到

发表于 11-5-2008 21:26:29 | 显示全部楼层 |阅读模式

汽车零部件采购、销售通信录       填写你的培训需求,我们帮你找      招募汽车专业培训老师


一、前言

目前,电动助力转向(EPS)正逐步取代传统的液压动力转向系统,成为汽车动力转向技术的研究热点。在电动助力转向系统开发阶段,通过仿真模拟对电动助力转向系统作出最初判断,并评价助力特性曲线对轻便性和路感的影响,对整车进行动力学分析是不可缺少的设计过程,而在该过程中准确、有效的仿真软件是至关重要的。

ADAMS(Automatic DynamicAnalysisof Me-chanical System)软件是美国MDI公司开发的机械系统动力学仿真分析软件,在Audi,BMW等公司的研发中得到广泛的应用,为汽车制造业、工程机械、航天航空业、国防工业以及通用机械制造业领域提供了精确、实用和便利的仿真环境。

二、模型建立与验证

(一)模型假设与简化

建立模型时作了以下假设:

1.该车前轴采用麦弗逊悬架与齿轮齿条式转向器,前左、前右簧上质量系统的结构相同,转向横拉杆与转向齿条直接相连,可以认为左右悬架以汽车的纵向中轴线对称。

2.建模时,除了轮胎、阻尼元件、弹性元件、橡胶元件以外,其余零部件视为刚体,在仿真分析过程中不考虑它们的变形。

3.各运动副内的摩擦力忽略不计。

4.各运动副均为刚性,内部间隙不计。

(二)整车模型建立

为研究助力特性对转向轻便性与路感的影响,本文应用其整车设计软件包ADAMS/CAR,在模板中分别建立前、后悬架、转向系统、轮胎及传动系等模型;并将各模板模型添加力元素及模板之间的信号交换器,分别建立前后悬架、转向系统、前后轮、传动系等子系统模型,输入各个零部件的质量惯量参数和各总成的结构参数;组合各子系统,建立整车模型。该模型如图1所示。
75700[1].png


该用户从未签到

 楼主| 发表于 11-5-2008 21:27:11 | 显示全部楼层
三)模型验证
为验证所建模型的正确性,对该车型进行了典型操纵稳定性道路试验。图2是55km/h蛇行况下仿真与试验结果的对比曲线,实线为试验曲线,虚线为仿真曲线。从图中可以看出,计算结果的变化趋势与试验结果大致吻合,峰值出现的时间基本一致,峰值大小基本相同。仿真与试验对比结果表明本文所建模型是正确的,因此可以将此仿真模型作为基本模型进行助力特性仿真研究。
75701[1].png


该用户从未签到

 楼主| 发表于 11-5-2008 21:29:03 | 显示全部楼层
三、助力特性的曲线特征

电动助力转向系统的助力特性曲线主要有如图3三种形式,且图中助力特性曲线可以分成三个区,0≤Td<TdO。区为无助力区,Tdo≤Td<Tmax区为助力变化区,Td≥Tmax区为助力不变区。
75702[1].png


该用户从未签到

 楼主| 发表于 11-5-2008 21:29:36 | 显示全部楼层
一)直线型助力特性
图3(a)的特点是在助力变化区,助力与转向盘力矩成线性关系。该助力特性曲线可用以下函数表示。
75703[1].png


该用户从未签到

 楼主| 发表于 11-5-2008 21:29:50 | 显示全部楼层
式中,I为电动机的目标电流Imax为电动机的最大工作电流;几为转向盘输入力矩;K(υ)为助力特性曲线的梯度,随车速增加而减小;Tdo为转向系统开始助力时的转向盘输入力矩;Tmax为转向系统提供最大助力时的转向盘输人力矩。


该用户从未签到

 楼主| 发表于 11-5-2008 21:30:38 | 显示全部楼层
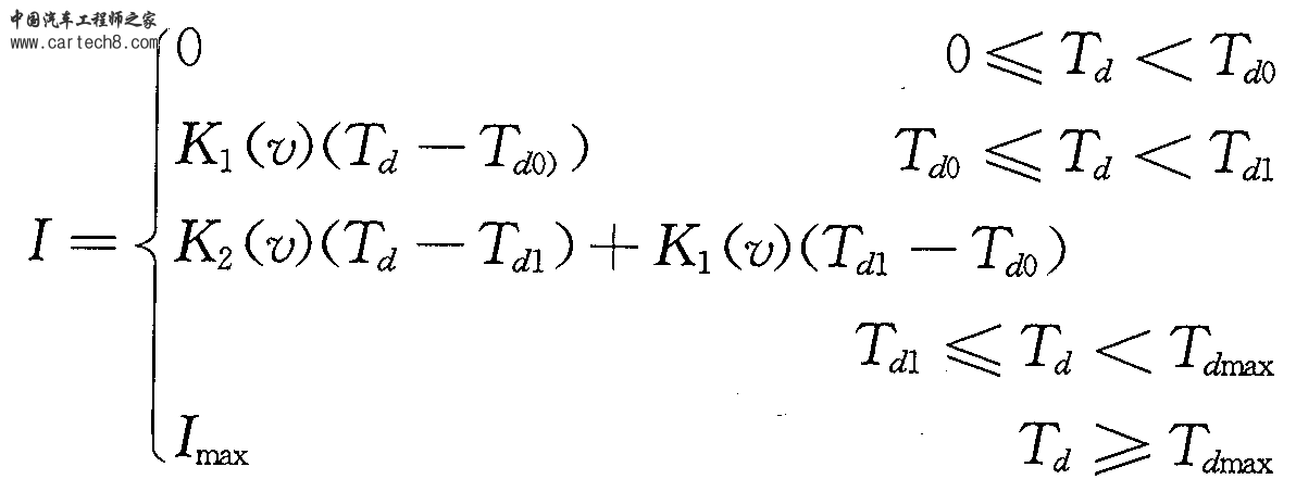
二)折线型助力特性
图3(b)的特点是在助力变化区,助力与转向盘力矩成分段线性关系。该助力特性曲线可用以下函数表示。














式中,K1(υ)、K2(υ)分别为助力特性曲线的梯度,随车速增加而减小;Tdl为助力特性曲线梯度由K1(υ)变为K2(υ)时的转向盘输人力矩。

75704[1].png


该用户从未签到

 楼主| 发表于 11-5-2008 21:32:49 | 显示全部楼层
(三)曲线型助力特性

图3(c)的特点是在助力变化区,助力与转向盘力矩成非线性关系。该助力特性曲线可用以下函数表示。
















比较上述三种助力特性曲线,直线型助力特性最简单,有利于控制系统设计,并且在实际中调整容易;曲线型助力特性复杂,调整不方便;折线型助力特性介于两者之间。




75705[1].png


该用户从未签到

 楼主| 发表于 11-5-2008 21:34:00 | 显示全部楼层
四、曲线特征影响的仿真分析

利用前面建立的整车模型作为研究对象,并在上述助力特性曲线的基础上分析这三种特征曲线对轻便性与路感的影响。仿真时采用双纽线和蛇行两种工况:通过10km/h双纽线工况来分析对转向轻便性的影响;100km/h蛇行工况来分析对高速情况下转向盘中间位置附近区域路感的影响。

(一)助力特性曲线特征的影响

仿真时采用如图4助力特性曲线,点划线表示直线性助力特性,虚线表示折线型助力特性,实线表示曲线型助力特性。
75706[1].png


该用户从未签到

 楼主| 发表于 11-5-2008 21:34:43 | 显示全部楼层
1.轻便性的分析

利用上述的曲线对其进行双纽行驶仿真,仿真结果如图5。表1列出了结果,用来评价轻便性。由图可知,采用直线型助力特性时,作用到转向盘上的转矩最小(图中点划线),折线型其次(图中虚线)、曲线型最大(图中实线),这是因为直线型助力特性曲线位置在折线型和曲线型之上,在相同转向盘转矩时的助力大,因此转向轻便。
75707[1].png


该用户从未签到

 楼主| 发表于 11-5-2008 21:35:16 | 显示全部楼层
2.路感的分析

仿真车速为100km/h,转向盘转角输入幅值为10°,频率为0.2Hz。采用如图4的助力特性,汽车满载时的转向盘转角正弦输入仿真结果见图6。表2列出了侧向加速度为1.1g时的转向盘转矩与梯度,用来表示离开直线行驶时的转向力与路感。仿真结果表明转向盘转矩在0~4Nm,助力特性工作在常用中间位置,当转向盘力矩小于1Nm时,由于没有助力,三种助力特性的路感很强,当转向盘力矩大于1Nm后,开始有助力,此时直线型的路感较弱,折线型与曲线型的路感比较接近,比直线型强。
75709[1].png


该用户从未签到

 楼主| 发表于 11-5-2008 21:35:55 | 显示全部楼层
(二)折线型助力特性曲线的折点坐标的影响

分析不同折点下的折线型助力特性曲线对转向轻便性和路感的影响。图7为仿真时采用的助力特性曲线,B1的坐标为(4.0,9.07)、B2的坐标为(3.0,6.08)、B3的坐标为(3.0,9.07)、B4的坐标为(4.0,6.08)。
75711[1].png


该用户从未签到

 楼主| 发表于 11-5-2008 21:36:50 | 显示全部楼层
1.轻便性的分析












折点坐标决定两段折线斜率的分配关系。结果表明X坐标相同时,Y坐标越大轻便性越好;Y坐标相同时,X坐标越大轻便性越差。
75712[1].png


该用户从未签到

 楼主| 发表于 11-5-2008 21:38:20 | 显示全部楼层
2.路感的分析

仿真采用正弦行驶,仿真车速为100km/h,转向盘转角输入幅值为10°,频率为0.2Hz。图9与表4为汽车空载时的转向盘转角正弦输人仿真结果。










仿真结果表明X坐标相同时,Y坐标越大路感越差;Y坐标相同时,X坐标越大路感越好。可以根据不同的要求,通过仿真初步确定合理的折点坐标。




75714[1].png


该用户从未签到

 楼主| 发表于 11-5-2008 21:38:53 | 显示全部楼层
(三)直线型助力特性曲线斜率的影响

对于直线型的助力特性曲线,分析不同的斜率下轻便性和路感的变化。图10为仿真采用的助力特性曲线,直线Ll、L2、L3的斜率分别为k1=9.67,k2=5.43,k3=2.99。
75716[1].png


该用户从未签到

 楼主| 发表于 11-5-2008 21:39:28 | 显示全部楼层
1.轻便性的分析

在汽车车速为10km/h条件下,对汽车作双纽行使工况进行仿真,仿真结果见图11与表5,结果表明增加直线型助力特性的斜率,将提高转向轻便性。
75717[1].png

快速发帖

您需要登录后才可以回帖 登录 | 注册

本版积分规则

QQ|手机版|小黑屋|Archiver|汽车工程师之家 ( 渝ICP备18012993号-1 )

GMT+8, 2-11-2025 05:23 , Processed in 0.419415 second(s), 47 queries .

Powered by Discuz! X3.5

© 2001-2013 Comsenz Inc.