中国汽车工程师之家--聚集了汽车行业80%专业人士 

论坛口号:知无不言,言无不尽!QQ:542334618 

本站手机访问:直接在浏览器中输入本站域名即可 

  • 569查看
  • 0回复

[数字电路] RC电路的τ原来这么算

[复制链接]


该用户从未签到

发表于 3-3-2024 09:41:13 | 显示全部楼层 |阅读模式

汽车零部件采购、销售通信录       填写你的培训需求,我们帮你找      招募汽车专业培训老师


RC滤波电路里的时间常数

本来想写一下绝缘检测电路里面桥臂电阻对精度的影响,结果写着写着发现需要用到RC电路中的时间常数,然后又不记得3τ的时间时电压上升到多少了,没办法回头翻翻十年前那本电路书,邱关源老师主编,高等教育出版社初版的这个,估计大家学的都是这本。
RC电路的τ原来这么算w2.jpg
先画个最简单的RC电路,就是下面这个。

RC电路的τ原来这么算w3.jpg
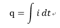
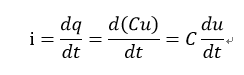
然后我开始抄书上的内容,内容如下:(本来在word上辛苦编辑的公式,复制不上来,下面公式基本都是截图)电容的电荷q=C*u;流过电容的电流:
RC电路的τ原来这么算w4.jpg
反过来:
RC电路的τ原来这么算w5.jpg
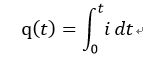
这时候假设初始状态开关未闭合,这时候电容C两端的电压为0V;开关闭合后的时间t时刻,由于蓄电池U一直在给电容充电,这时候电容的电荷为:
RC电路的τ原来这么算w6.jpg
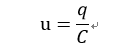
由于

RC电路的τ原来这么算w7.jpg
则电容两端的电压:
RC电路的τ原来这么算w8.jpg
根据电路的基尔霍夫电压定律(KVL:沿任一回路的,所有支路电压的点数和恒等于零),电容充电的过程中,电流的方向是顺时针,列出方程如下:

RC电路的τ原来这么算w9.jpg
到这里我又忘了怎么去推导这个非齐次一阶微分方程,回头又去找书翻了一下,只能庆幸我还记得这是个一阶微分方程,不然都不知道怎么翻书了:
RC电路的τ原来这么算w10.jpg
求解出来就是这个结果:
RC电路的τ原来这么算w11.jpg
因此,充电的时候,电容两端的电压u(t)与电源电压U之间的关系就是这样:
当t = RC时,u = 0.63U;

当t = 2RC时,u= 0.86U;

当t = 3RC时,u = 0.95U;

当t = 4RC时,u= 0.98U;

当t = 5RC时,u= 0.99U;
放电的时候,百度百科直接有很详细的推导公式和过程如下:
RC电路的τ原来这么算w12.jpg



该用户从未签到

发表于 14-3-2025 12:33:00 | 显示全部楼层
RC电路的时间常数τ(tau)计算公式为τ=RC,其中R为电阻值,C为电容值。在RC滤波电路中,时间常数决定了电压的变化速度。关于您提到的绝缘检测电路中的桥臂电阻对精度的影响,确实需要考虑到RC电路的特性。

对于简单的RC电路,当开关从闭合状态转为断开时,电容上的电压会随时间以e指数形式衰减。具体地,电压随时间的变化公式为U(t)=U0*(1-e^(-t/τ)),其中U0是电容初始电压,t是时间。对于3τ的时间,电压已经接近其最终值的95%以上。在您研究绝缘检测电路时,这些基础的RC电路特性会有助于理解和优化电路性能。
回复 支持 反对

使用道具 举报

快速发帖

您需要登录后才可以回帖 登录 | 注册

本版积分规则

QQ|手机版|小黑屋|Archiver|汽车工程师之家 ( 渝ICP备18012993号-1 )

GMT+8, 6-11-2025 03:30 , Processed in 0.480781 second(s), 37 queries .

Powered by Discuz! X3.5

© 2001-2013 Comsenz Inc.