中国汽车工程师之家--聚集了汽车行业80%专业人士 

论坛口号:知无不言,言无不尽!QQ:542334618 

本站手机访问:直接在浏览器中输入本站域名即可 

  • 394查看
  • 0回复

[驱动电机] 电驱动系列:二十三、转子磁场

[复制链接]


该用户从未签到

发表于 7-4-2024 19:23:45 | 显示全部楼层 |阅读模式

汽车零部件采购、销售通信录       填写你的培训需求,我们帮你找      招募汽车专业培训老师


本节内容:

23.1永磁同步电机转子磁势

    23.1.1 永磁同步电机转子磁势的波形

    23.1.2永磁同步电机转子磁势的空间谐波特征

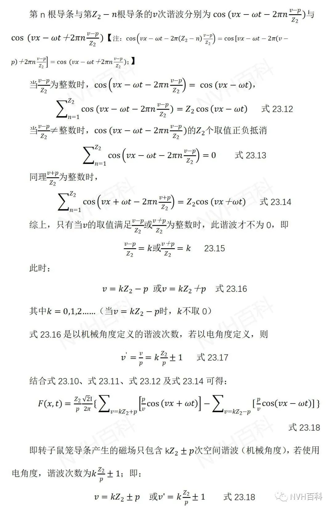
23.2异步电机转子磁势

    23.2.1 异步电机转子磁势的推导

    23.2.2 异步电机转子磁势的空间谐波特征

23.1永磁同步电机转子磁势

23.1.1 永磁同步电机转子磁势的波形

       在永磁同步电机中,转子磁场由永磁体产生;永磁体一般关于磁极的几何中心线对称布置,考虑到磁极的周期性,永磁体产生的磁场可以展开为空间坐标的傅里叶级数,下面我们来分析该傅里叶级数的特征:

     根据对称性,将坐标原点选在磁极的几何中心线与气隙的交点上,永磁体产

生的磁势满足以下关系:

电驱动系列:二十三、转子磁场w1.jpg

假设电机为p对极,则永磁体磁势在一个气隙圆周上有p个完整的波形,

电驱动系列:二十三、转子磁场w2.jpg

电驱动系列:二十三、转子磁场w3.jpg

电驱动系列:二十三、转子磁场w4.jpg

电驱动系列:二十三、转子磁场w5.jpg

电驱动系列:二十三、转子磁场w6.jpg

注:由于文章中有公式,且各大网站上均不支持MathML格式的公式,因此文章主体使用了图片的形式,如造成阅读的不便烦请谅解。


该用户从未签到

 楼主| 发表于 13-3-2025 00:37:02 | 显示全部楼层
回复帖子如下:

针对永磁同步电机转子磁势的分析,转子磁场由永磁体产生,其波形及空间谐波特征是电驱动系统中的核心内容。关于磁势的波形,它呈现出由傅里叶级数展开的特征,这有助于我们深入理解电机的工作机理。对于空间谐波特征,其分析和研究有助于优化电机设计,提高电机性能。至于异步电机转子磁势的推导及其空间谐波特征,这是电机设计中的另一重要方面,涉及到电机的运行效率和性能稳定性。我们将深入探讨这些内容,以便更好地理解和应用电驱动技术。

[内容由汽车工程师之家人工智能总结,欢迎免费使用,见贴尾]
回复 支持 反对

使用道具 举报



该用户从未签到

发表于 13-3-2025 00:37:02 | 显示全部楼层
针对您提供的关于永磁同步电机转子磁势的内容回复如下:

在永磁同步电机中,转子磁势的波形主要依赖于永磁体的布局及其磁特性。由于永磁体关于磁极的几何中心线对称布置,产生的磁场可展开为空间坐标的傅里叶级数。这一磁势波形具有特定的空间谐波特征,表现为丰富的基波和谐波成分。对于异步电机,其转子磁势的推导较为复杂,涉及电磁感应和转子电流等因素。其空间谐波特征也显著,对电机性能产生影响。深入理解和掌握这些特征,对于电机设计和优化运行至关重要。后续将详细阐述这两类电机转子磁势的波形特征和谐波特性。

[内容由汽车工程师之家人工智能总结,欢迎免费使用,见贴尾]
回复 支持 反对

使用道具 举报

快速发帖

您需要登录后才可以回帖 登录 | 注册

本版积分规则

QQ|手机版|小黑屋|Archiver|汽车工程师之家 ( 渝ICP备18012993号-1 )

GMT+8, 31-10-2025 04:05 , Processed in 0.360092 second(s), 35 queries .

Powered by Discuz! X3.5

© 2001-2013 Comsenz Inc.