电动汽车分散充电设施配比度分析与计算方法研究
亚洲电能质量联盟 本文基于美国NHTS(Nationalhouseholdtravelsurvey)的私家车调查数据,统计分析车辆的行驶里程数分布规律
以下为文章全文:(本站微信公共账号:cartech8)

汽车零部件采购、销售通信录 填写你的培训需求,我们帮你找 招募汽车专业培训老师
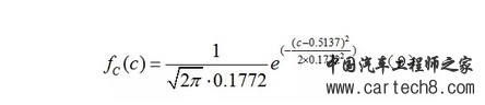
摘要:分散充电设施需按一定比例合理配置以满足电动汽车的充电需求,同时尽量避免设施冗余。本文基于美国NHTS(Nationalhouseholdtravelsurvey)的私家车调查数据,统计分析车辆的行驶里程数分布规律,研究用户对不同剩余荷电状态(stateofge,SOC)接受心理下的电动汽车充电需求概率,提出了分散慢充桩与电动汽车的配比度分析计算方法;分析了影响用户进行快、慢充选择的诸多因素,进而建立用户快充需求判断的概率模型,提出了分散快、慢速充电设施的配比度分析计算方法,为分散充电设施的规划配置提供依据。 1、引言 随着能源危机和环境污染问题日益严重,电动汽车迎来了自身发展的重大契机。充电基础设施的建设是电动汽车产业推广的前提和基石,如何合理地配置充电设施以适应电动汽车的推广应用将是急需解决的关键问题。现阶段对于充电基础设施规划配置的研究主要围绕集中式充电站或换电站的站址选择与容量确定进行,对于分散充电设施,由于其依各功能区的停车场而建,在选址方面较为简单经济,因此更应合理确定各类分散充电设施之间以及充电设施与电动汽车之间的配比度,而目前这方面的研究较少。 分散充电设施根据充电方式的不同可分为交流慢速充电桩和直流快速充电设施。交流慢充桩输出为交流电,需通过车载充电机为电动汽车充电,充电电流较小,充电时间一般在3-8小时;直流快速充电设施则直接为电动汽车动力电池提供直流电源,充电电流大,一般可在半小时将电池电量充至80%以上。目前新生产的电动乘用车基本都同时配有快充和慢充两个充电接口。充电电流过大将缩短电池寿命、降低电池效率,且会对电网造成冲击。基于以上因素,并考虑进行有序充电的充裕度,应把慢充充电作为当前技术水平下动力电池的主要充电手段,而将快充充电作为一种辅助的应急手段。 现阶段在分散充电设施实际规划建设过程中,其配比度仍然依靠主观确定,无科学的分析方法。本文从满足电动汽车用户不同充电需求的目标出发,基于对私家车运行规律的统计分析,提出了电动汽车与慢充桩配比度和快、慢充电设施配比度的概率分析方法,为合理确定分散充电设施的配置比例提供依据。除私家车外的其余类型电动汽车(如出租车,公交车)一般都有固定的集中式充电场所,且私家车的比重将达到70%~80%,是未来电动汽车推广的主体,面向私家车的充电设施配置是否完善,将直接影响到电动汽车的发展速度,因此,本文针对电动私家车进行充电设施配比度分析,且假设未来电动汽车行驶规律与燃油车相似。 2、慢充桩与电动汽车配比度计算方法 分散慢充桩应成为满足电动汽车日常充电需求的主要设施类型,而充电需求则由多方面因素决定,包括用户的用车行为习惯、电动汽车的续航能力以及用户对电动汽车行驶性能的信心等因素,后两者决定了在分析用户充电行为时,需考虑用户心理因素。私家车夜间一般停泊在居住区停车场,停靠时间较长。从充电的便利程度和可支配充电的时间充裕性来看,居住地是最主要的电动汽车能量补集地点,应最大程度的满足用户的充电需求,从而首先适合在居民区电动汽车用户的停车位建设分散充电桩,其数量应与该小区电动汽车数量相等,车、桩、位之比适宜为1:1:1,以保证为每辆电动汽车提供专有的充电服务。但是只在住宅区配置充电设施不足以完全保证用户外出行驶需求,也不利于增强用户对电动汽车的使用信心,因此,有必要在私家车用户频繁停车的其他场所配置相应的充电设施,其配比度如何确定,是本文所要分析的问题。 2.1电动汽车用户心理接受能力分析 据文献发布的2012年上海电动汽车示范运行一周年的《数据采集报告》,大约90%的电动汽车用户会在出行前将电池荷电状态(stateofge,SOC)充至60%以上,且大部分用户(77%)在电池剩余SOC下降到一半之前就开始充电,几乎没有人会在电量耗尽时再去充电。统计结果体现了用户对电池剩余SOC不足以维持电动汽车完成一次行驶的心理担忧。充电桩建设数量越多,越容易满足用户的充电需求,但是也意味着造成设施闲置以及投资浪费的可能性越大,因为每个用户对剩余SOC程度的承受心理不尽相同,这将直接影响其充电意愿,并非所有用户均会在停车地点进行充电,因此,在配置充电设施时,必须计及用户对不同剩余SOC的接受心理,从而综合考虑对充电的心理迫切性和发生充电行为的便利性,确定一个相对合理的充电桩建设比例。 2.2桩车配比度计算方法 单个用户的充电行为具有较大的随机性,但是当样本数量足够大时,总体用户的充电行为会呈现出一定的规律,即随着样本数量的增加,对电动汽车具有相近使用心理的用户中,产生充电需求的频率将会逐渐稳定在一个值附近,即单个用户的充电概率。 本文计及不同用户对剩余SOC的接受心理,分析不同接受水平下的充电需求概率,并为其设置权重,进而综合考虑不同用户的充电需求,按适当的配比度配置交流慢充桩。 本文在分析时做如下假设: 1)所有电动汽车均以满电状态从家出发; 2)用户会优先考虑住宅区充电。仅当在返回住宅区之前,电动汽车能量状态可能不满足用户心理可接受水平时才在住宅区以外的场所进行充电; 3)除居住地以外,每个用户只有一个外出目的地,且往返里程相同; 4)行驶里程与电量消耗呈线性关系,且不考虑电池自放电; 5)由于慢充充电时间较长,一般为3~8h,因此,假设在不同功能区的一个停车周期内,单个充电桩仅为一辆有充电需求的车辆服务,即不出现排队情况; 6)对剩余SOC具有相同接受心理的用户具有相同的充电需求概率。 用户行驶及充电过程可描述如下: 根据假设1)和2),用户满电状态从家出发,当其到达户外目的地,可选择充电与否。这由用户对电动汽车剩余电量能否支撑其返回居住地的信心决定。后者又受以下两方面因素影响: 2.3算例分析 图1 各区域p(x)曲线 从图1可以看出,用户可接受最低SOC在[0.5,1]时,工作区充电需求概率将明显高于其他区域,三个区域p(x)拟合的均方根误差(root-mean-squareerror,RMSE)最大为0.013,说明拟合结果相对精确。 (2)权重函数w(x)计算 由于用户可接受的最低剩余SOC是一个较为主观的概念,在现阶段电动汽车尚未大量普及之前,大部分用户对此并无直观概念,难以直接获得,因此,本文使用充电起始SOC统计数据代替可接受最低SOC数据,因为充电起始SOC在很大程度上反映了用户充电心理以及其他一些与充电行为习惯相关的不可测量因素,或者可以说,充电起始SOC数据可以更好反应用户实际充电心理和行为的。 文献对美国能源部发起的EVProject项目中纯电动汽车的行驶和充电规律做了统计,其中充电起始SOC的统计结果如下图2所示,其近似服从正态分布。 根据拟合结果可得充电起始SOC概率密度函数: 由于正态分布的累计分布函数没有解析表达形式,因此不能直接使用式(3)计算权重函数,因此,本文对w(x)进行离散计算后,根据其分布形式,用5次多项式对离散点进行拟合,拟合结果如下图3及式(10)所示: 图3 w(x)曲线 其中,p1~p6为拟合参数,见下表1所示: 表1 拟合参数信息 在假设条件(2)下,私家车用户外出一次仅能达一个户外目的地,因此,对于单个用户而言,四个区域的充电行为在空间和时间上均是相互独立的,由此,可将四个区域的桩车比相加得到全社会比例。文献中给出了部分国家电动汽车保有量和公共区域充电设施预测结果,若将住宅区私人充电设施按桩车比1:1计入,则荷兰、法国和日本等国家在2015或2020年全社会桩车比预测值均在2左右,可见,本文分析所得桩车比相对合理的。 前述分析以150km续驶里程为例,表2中同时给出了100km续驶里程戏啊配比度的计算结果。由式(2)可知,随着电动汽车续驶里程的不断增加,充电需求概率进而住宅区以外区域的配置桩车比会发生变化,在假设充电初始SOC不会随着电动汽车续驶里程水平改变而改变的前提下,图4给出了桩车比随电动汽车续驶里程的变化趋势。 图4 Rp/v随续驶里程变化趋势 可以看出,随着电动汽车续驶里程水平的提高,桩车配比度会逐步下降,且有趋近于饱和的趋势,当续驶里程达到目前燃油汽车的水平500km时,住宅区以外各区域的桩车配比度之和只有0.4左右,全社会配比度达到1.4,这也意味着随着续驶里程的提高,住宅区充电所扮演的角色越来越重要。实际上,随着续驶里程的增加用户对电动汽车的使用信心将会越来越大,会接受更小的剩余SOC,使得本文中权重函数也相应发生变化,从而使得桩车配比度下降较图4更为迅速。 值得注意的是,桩车配比度的下降不等同于充电桩绝对建设数量的下降,随着电动汽车保有量的增加,仍需继续新建充电设施,但是新增电动汽车与新建慢充桩之间的比例将会同比逐渐下降。 3、快、慢充设施配比度计算方法 快速充电设施的定位是为有紧急需求的用户提供短时间、大电流的电能补给,是慢速充电桩的有益补充。规划分散充电设施时,应根据快、慢充电设施的不同定位,合理进行比例配置,以满足用户不同的充电需求。 3.1快、慢充电设施配比度数学模型 本文以慢充的方式充电后电动汽车的能量状态能否满足用户下一次行驶的能量需求作为判断是否需要快充的条件,通过计算用户有快充需求的概率,来确定快、慢充电设施的配比度。用户采用慢充方式充电结束时电动汽车的能量状态主要由以下两部分构成: 1)充电开始时刻能量状态:由充电起始SOC和电池额定容量决定。 2)慢充充电过程中所能补充的能量:由慢充充电功与用户停车时间(反映了可用来进行充电的时间)决定。 用户为完成下一次行驶所需能量则主要由以下两部分构成: 1)行驶所耗电量:由用户单次行驶的里程数和车辆能耗性能决定。 2)电池允许最小剩余电量:主要由用户对最小剩余电量的接受心理以及电池安全、寿命影响等因素决定。 以上各因素中,充电起始SOC、用户停车时间及行驶里程均与用户行为习惯相关,具有一定的随机性,而电池容量、慢充功率和车辆耗电性能则主要由电动汽车具体参数决定。因此,慢充方式不满足用户行驶需求,即用户有快充需求的条件可表示为: 3.2用户行驶及充电规律分析 准确描述电动汽车的行驶及充电规律是合理配置快、慢速充电设施的前提,由式(13)可知,计算快、慢充设施配比度需要先得到单次行驶里程、充电起始SOC以及停车持续时间三个随机变量的概率密度函数,其中充电起始SOC前文已进行分析,下文将分别剩余两者进行分析。 (1)停车持续时间 文献]对某商业中心停车场的车辆停车持续时间进行了统计,从统计结果可知其近似服从伽马分布。对统计结果进行拟合,如下图5所示。图5停车持续时间频率直方图及概率密度 (2)单次行驶里程 此处仅对NHTS中起点或终点为商业中心的单次行驶里程数据进行统计分析。使用对数正态分布对数据进行拟合,得到图6所示的概率密度曲线。图6单次行驶里程频率直方图及概率密度 3.3现有电动车型快、慢充设施配比度计算 确定式(13)中三个随机变量的概率密度函数后,本文参照现有部分电动乘用车参数(如表6所示)进行快慢充设施配比度的计算,对于参数k,考虑电池寿命及安全,认为动力电池最大放电深度(DOD)不宜超过80%,即最小剩余电量不应低于电池配置容量的20%,同时考虑用户的使用心理(用户不会在电量耗尽后才去充电),可设k为为0.2,由于式(13)中部分被积函数的原函数没有解析表达式,因此本文通过matlab中的三重数值积分函数triplequa对式(13)进行数值计算。商业区各车型参数及快慢充设施配比度计算结果见下表3所示。 结果显示,在快充与慢充的配比度方面,所选车型中,最大比例为0.0530,最小为0.0149,由此可知,在商业中心,快充桩和慢充桩的比例可按2%-6%进行配置。从分析结果可以看出,不同参数的电动汽车对快速充电的需求不同,电池容量越小、充电功率越小、而百公里耗电越大的车辆,其快充需求越大。因此,在具体配置过程中,应考虑在目标区域内进行充电的电动汽车具体参数进行配置 4、结论 本文基于对用户行驶规律统计数据的分析,提出了电动汽车分散充电设施配比度计算方法:以用户对剩余SOC的不同心理承受能力为条件,对各个功能区充电需求概率进行了统计分析,从而确定电动汽车与慢充桩的配比度;以用户慢充充电单次补充的电能能否满足下一次行驶需求作为是否有快充需求的判断条件,计算得到快充需求概率,从而确定待研区域内快慢充配比度。因此,对于待研区域内一定数量的电动汽车,根据本文所提方法可确定两类分散充电设施的相对合理配置数量,对充电设施的规划布局的研究具有指导意义。不同城市或区域内的电动汽车在行驶及充电行为方面规律不尽相同,因此,在使用本文方法确定分散充电设施建设数量时,应在目标区域进行实地调研和数据采集,使规划方案更加符合该地区的实际情况。 |
文章网友提供,仅供学习参考,版权为原作者所有,如侵犯到
你的权益请联系542334618@126.com,我们会及时处理。






会员评价:
共0条 发表评论