定量优化锂电池极片微观结构解析
mikoWoo 锂离子电池极片涂层可看成一种复合材料,主要由三部分组成:(1)活性物质颗粒(act);(2)导电剂和黏结剂相互混合的组成相(碳胶相,sub);(3)孔隙,填满电解液。
以下为文章全文:(本站微信公共账号:cartech8)

汽车零部件采购、销售通信录 填写你的培训需求,我们帮你找 招募汽车专业培训老师
电动汽车长续航里程对动力电池提出了更高的能量密度要求,市场和基础设施情况同时又要求动力电池具有良好的倍率特性,而这两者是相互矛盾的。如何在较高的能量密度下实现电池良好的倍率特性,这需要从微观上理解电池极片的机理,从下至上优化电池设计。 锂离子电池极片涂层可看成一种复合材料,主要由三部分组成:(1)活性物质颗粒(act);(2)导电剂和黏结剂相互混合的组成相(碳胶相,sub);(3)孔隙,填满电解液。因此,对于电极片涂层,各相的体积关系由式(1)表示:
其中,ε为孔隙率,
为活物质体积分数,
为碳胶相体积分数。 而电池的倍率特性主要与极片中电子、离子的传导特性密切相关,宏观的多孔电极理论中,锂离子、电子的有效电导率可由式(2)、式(3)计算:
其中,
锂离子的有效电导率;
电子的有效电导率;
电解液中锂离子的电导率; ε 极片涂层中的孔隙率;
孔隙迂曲度,连同孔隙的曲线通道长度与宏观入口-出口直线距离比值的平方;
活物质体积分数;
活物质颗粒相的迂曲度;
电子在活物质材料中的电导率;
碳胶相体积分数;
碳胶相的迂曲度;
电子在碳胶相中的电导率; 从公式(2)可见,在电极微观结构方面,锂离子的电导率主要与极片的孔隙率和孔隙迂曲度相关,孔隙率意味着电解液的体积分数。当增加孔隙率时,锂离子的电导率升高,但是电子的电导率下降,也会影响容量。而孔隙的迂曲度与活物质的形貌、极片制备工艺相关。特别对于高能量密度的厚电极极片设计,控制孔隙的迂曲度,提高离子和电子的电导率,这是非常重要的。在标准模型中,孔隙的迂曲度可基于孔隙率由式(4)进行计算。
其中,γ =1-β,为Bruggeman指数,理论和试验验证,其值为1.5,但是这并没有考虑实际的电极片微观结构。 日本京都大学Gen Inoue等人研究了钴酸锂正极极片、石墨负极极片,采用FIB-SEM技术重构了极片的三维微观结构,基于实际的重构结构计算了锂离子和电子的有效电导率。计算值与试验结果对比确定了重构极片结构的有效性。最后,通过不同的粘结剂模型和颗粒形状模型模拟电极微观结构,基于这些对比,讨论了多孔电极微观结构与锂离子电导率的关系。 2、试验和模拟 2.1、实际电极结构的重建 正极涂层:LCO: CB: PVdF = 92.6:4.6:2.8,面密度3.0 mAh/cm2,厚度77μm 负极涂层:C+SBR+CMC体系,面密度2.0 mAh/cm2,厚度40μm 采用FIB-SEM技术对电极涂层每500nm逐层切除获取160张截面照片,然后重构电极三维微观结构。重构结构像素分辨率为500nm,分辨率较高,一般XCT技术分辨率为1μm左右。粘结剂和导电剂颗粒很小,无法分辨,因此将他们看成一个混合相(碳胶相)。
图1 电极涂层微观结构重构图:(a)钴酸锂电极截面,(b)石墨电极截面,(c)钴酸锂重构三维结构,(d)石墨重构三维结构 图1为锂离子电池电极涂层的微观结构重构图,基于此重构图,计算极片涂层的孔隙率,另外使用He气测实际量涂层的孔隙率,其结果如下表所示。
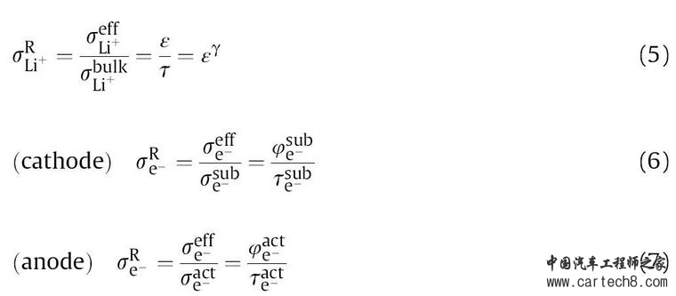
误差产生的主要来源:重构结构分辨率为500nm,在此尺寸之下的孔隙被忽略,而He测量的孔隙率包含了更小尺寸的孔隙。本文认为小尺寸的孔隙不是主要的离子传输通道,因此将其忽略。 2.2、电子、离子的有效电导率计算 正极中,活性物质的电子导电率很小,忽略不计。负极中,粘结剂相内导电材料比例很小,忽略其电子导电率。因此,离子、电子的电导率可由式(5)、(6)、(7)计算。
2.3、正极涂层中离子有效电导率的实验测量 极片制作成半电池,测量交流阻抗谱EIS,采用等效电路模型。从而通过试验数据计算出离子有效电导率。不考虑反应浓度分布和电子浓度分布,将极片制作成半电池,测量半电池的交流阻抗谱,如图2a和b所示,Rsol是与集流体和隔膜相关的电阻,交流阻抗谱中,45°直线斜率是离子有效电导率电阻,因此,离子有效电导率和孔隙迂曲度由式(8)计算:
其中,L为极片涂层的厚度,S为电极的面积。 2.4、正极涂层中电子有效电导率的实验测量 首先制备一系列不同导电剂含量的电极片,极片在一定的压力下采用四探针法直接测量电阻(图2c),将测量的结果作导电剂含量-电阻关系图,通过曲线反推至导电剂含量为0时的电阻值Rcont,则电子电导率可由式(9)计算:
当导电剂含量大于0.4时,电极电子电阻趋于常数值,本文中电子的电阻采用此常数值。 2.5、试验结果和模拟结果的对比 图2e是离子、电子有效电导率的实验值和基于重建结构的计算值的对比,另外给出了布拉格曼模型的理论计算值。实验值和计算值接近验证了模型的有效性,而理论值比实验值和模拟值都要高,往往过高估计电池倍率特性。
图2 离子、电子有效电导率实验测试方法 (a)(b)半电池交流阻抗谱试验测量离子有效电导率;(c)(d)在压力下直接测量电子有效电导率;(e)基于重构结构离子、电子有效电导率计算值与试验测试值对比 3、数值模型结构的评估 3.1、正极中碳胶相对离子有效电导率的影响 图3a是基于实际重构体的调整结构。基于实际的三维重构结构,通过改变碳胶相和孔隙界面体素尺寸,对微观结构进行调整,并与实际结构对比,理解正极中碳胶相对锂离子电导率的影响。对每一种结构计算了孔隙和碳胶相的迂曲度,以及根据公式(5)计算离子的有效电导率。 图3b是数值模拟生成的微观结构,模拟生成时,假定活物质颗粒是球形的,尺寸满足图3b中的粒径分布曲线,活物质完全没有团聚,随机设置位置,直到体积分数达到设定值0.55(此值与实际结构相近),活物质结构在后面几种结构模型中保持不变。而碳胶相也是基于体积分数生成的,形成以下四种结构: 结构A 均匀涂层结构:碳胶相没有团聚,在活物质颗粒表面形成均匀厚度的涂层。 结构B 随机组装结构:碳胶相与活物质没有太强的亲和性,发生团聚,团簇随机分布在前面生成的活物质结构孔洞中,团簇尺寸由孔隙尺寸确定。 结构C 亲水性的结合结构:碳胶相与活物质亲水性结合,接触角小于90° 结构D 疏水性的结合结构:碳胶相与活物质疏水性结合,接触角大于90°
图3 (a)基于重建结构的正极调整结构,(b)数值模拟生成的结构 图4是各种结构的孔隙尺寸分布及其在不同孔隙率下的相对锂离子电导率。图4a是重建结构的孔隙尺寸分布,图4b是数值模拟生成的四种结构的孔隙尺寸分布,其实,孔隙尺寸对迂曲度影响不大,对离子的电导率也没有直接影响。但是如果考虑到离子与孔壁有强烈的吸附或脱附作用时,孔隙尺寸就会对离子电导率具有巨大影响。图4c和d是不同孔隙率下的离子相对电导率曲线图和log-log双对数图。除结构C外,其他三种结构相对离子电导率与公式(5)中γ=1.5时相近。 而结构C中,碳胶相紧紧粘合在活物质颗粒表面,孔洞形成喉道,限制锂离子的传导,从而离子相对电导率偏低,而实际结构与此类似,所以基于实际结构的调整模型和试验测量值与此相近。
图4 (a)实际重构结构的孔直径尺寸分布,(b)四种数值模拟生成结构的孔直径尺寸分布,(c)各种结构中锂离子相对电导率与孔隙率的关系图,(d)相对电导率与孔隙率的log-log双对数图。 基于结构C,调整活物质和碳胶相的体积分数,进一步研究离子相对电导率与孔隙率的关系。图5a是不同的活物质体积分数(0.45, 0.50, 0.55, 0.60, and 0.65)时离子相对电导率与孔隙率的关系,活物质比例低时,两者关系接近γ=1.5曲线,而随着活物质体积分数增加,关系接近γ=2.8曲线。图5b是不同的碳胶相体积分数(0.04, 0.08, 0.12, 0.16, 0.20, and 0.24)时离子相对电导率与孔隙率的关系,随着碳胶相体积分数增加,两者关系从γ=1.5曲线转变为接近γ=2.8曲线。离子的电导率不能仅仅表述为与孔隙率相关,因此本文将离子相对电导率定义为活物质结构产生的相对电导率
与碳胶相结构产生的相对电导率
的乘积,见式(10):
其中,活物质结构产生的相对电导率 采用Bruggeman方程表述,而碳胶相结构产生的相对电导率 采用除活物质外的碳胶相和孔隙体中孔隙体积比重的指数函数。
图5 离子相对电导率与孔隙率的关系 (a)不同的活物质体积分数,(b)不同的碳胶相体积分数 3.2、负极中活物质宽高比和取向对离子有效电导率的影响 负极活物质的两个主要参数:颗粒的形貌,各向异性的颗粒取向。图6a是负极重构结构以及基于重构结构的调整结构,主要通过改变颗粒与孔隙界面的体素尺寸调节活物质颗粒的尺寸大小。图6b是数值模拟生成的负极极片微观结构,两种结构分别为: 结构A:椭圆形的石墨颗粒,颗粒的宽高比设定为3。假定浆料制备过程中可忽略重力影响,颗粒随机分布,不会出现各向异性。 结构B:先设定正方体,Z轴高度方向是结构A的两倍,按照结构A方法随机分布活物质颗粒,然后获取的结构沿Z轴压缩一倍,获取的结构具有各向异性。
图6 (a)石墨负极重建结构与控制颗粒尺寸的调整结构,(b)数值模拟生成的结构 图7是负极各种结构的离子相对电导率与孔隙率的关系,球形颗粒结构相对离子电导率接近理论预测值(γ=1.5),而椭球型颗粒组成结构A的相对离子电导率明显更低,但是与实际重建结构类似,而且没有产生各向异性。而结构B横向和纵向存在明显的各向异性。
图7 负极各种结构的离子相对导电率与孔隙率的关系 图8是实验结果,重构结构,本文总结公式与其他理论或文献的比较。传统多孔电极理论预测往往过高估计离子的电导率,而实际重构结构或者实验测量中,离子的电导率低于理论值,本文将离子相对电导率定义为活物质结构产生的相对电导率
与碳胶相结构产生的相对电导率
的乘积。活物质结构产生的相对电导率 采用Bruggeman方程表述,而碳胶相结构产生的相对电导率 采用除活物质外的碳胶相和孔隙体中孔隙体积比重的指数函数。这样可以很好理解离子导电率的限制和影响因素。 图8 实验结果,重构结构,本文总结公式与其他理论或文献的比较 |
文章网友提供,仅供学习参考,版权为原作者所有,如侵犯到
你的权益请联系542334618@126.com,我们会及时处理。




































会员评价:
共0条 发表评论