新方法快速计算锂离子电池动力学模型
对于锂离子电池的管理系统BMS而言,最重要的就是如何准确的计算出锂离子电池组的充电状态SoC,健康状态SoH、可用能量和功率等参数,这就需要一个准确的锂离子电池模型。
以下为文章全文:(本站微信公共账号:cartech8)

汽车零部件采购、销售通信录 填写你的培训需求,我们帮你找 招募汽车专业培训老师
对于锂离子电池的管理系统BMS而言,最重要的就是如何准确的计算出锂离子电池组的充电状态SoC,健康状态SoH、可用能量和功率等参数,这就需要一个准确的锂离子电池模型。 一般而言,常见的锂离子电池的模型分为两大类:1)经验模型;2)物理模型。其中经验模型最大的优势在于操作简单,根据以往的数据,通过总结分析和机械学习等方法,获得一个模型,该模型不能阐述锂离子电池的内部机理,但是能够较为准确的对电池的参数进行预测,缺点是仅仅能够对某一特定类型的电池进行应用,缺少普适性。物理模型是对锂离子电池的结构首先构建物理理论模型,然后进行数学描述,并对模型进行计算机程序模拟,优点是准确度高,具有很好的普适性,但是要构建准确的模型往往需要高维度复杂模型,这也导致了模型的计算量非常大,难以在实际应用中对锂离子电池的状态参数进行实时预测。 为了能够降低物理模型的计算量,我们需要对其进行简化处理,以降低物理模型的复杂程度,因此出现了许多简化锂离子电池模型的方法,大多数简化锂离子电池模型的方法主要是通过对描述固相扩散PDE过程进行简化而实现,如Polynomial简化,Pade简化等,近日美国科罗拉多大学的Albert Rodríguez等人提出了一种快速求解锂离子电池动力学模型的计算方法,该方法主要针对基于扩散函数的模型,基于扩算函数的模型能够使的锂离子电池模型保持在很低的维度,从而降低模型的计算复杂程度。但是扩散函数方法有一个缺点就是对于电解液中的浓度计算准确度要求很高,而Albert Rodríguez等采用参数变异法VOP替代了分离变量SOV对模型进行计算,从而极大的加速了模型的计算过程,计算速度提高了3800倍。
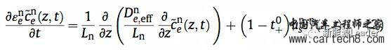
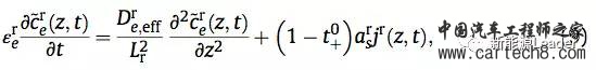
假二维多孔电极模型中电解液物质转化公式如下式所示,其中r描述电池的范围(负极、隔膜、正极),Ce(x,t)描述了在x位置,时间t时电解液的浓度,ee描述了电极的孔隙率,De,eff描述了电解液的扩散能力,t+0代表了Li+的扩散数量,as为界面比表面积,j(x,t)为在x位置,t时间从电极扩散到电解液中的Li+。
一般而言,在锂离子电池内De,eff受到锂盐浓度的影响,因此各个位置的值也是不相同的,但是在模型中往往都认为在整个电池中De,eff和ee都是均匀的,这个假设可能会导致模型计算的准确度降低,但是Lee等人的计算显示,该模型能够获得非常准确的结果。 在模型中定义电解液浓度C——e=Ce-Ce,0,负极的空间位置z=x/Ln,隔膜的空间位置为z=(x-Ln)/Ls,正极的空间位置为z=(Ln+Ls+Lp-x)/Lp,因此以负极为例,其模型如下式所示:
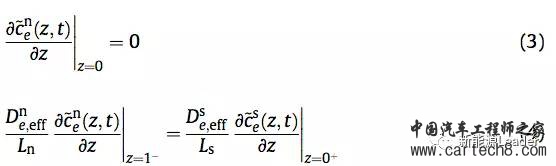
对于PDE的梯度边界条件如下所示:
连续性边界条件如下式所示:
假设初始条件为Ce(x,0)=Ce,0
在之前的工作中,Lee和他的同事利用分离变量(SOV)的方法获得了上式1的一个解,如下所示,在利用有限元求解过程中为了获取每个单元的本征值ln的数值,需要进行复杂的计算,因此导致模型的建立过程变的非常缓慢,降低了该模型的实际应用价值。
为了降低扩散函数模型的计算复杂程度,Albert Rodríguez设计了一个新的计算方法——参数变异法(VOP),避免了求解每个单元的本征值ln的数值,提高了模型的计算速度。具体过程如下所示。 首先Albert Rodríguez将电池分成若干的区域分别进行计算,而不是对整个电池同时进行计算,这样可以保证De,eff和ee等参数在该区域内是相同的,不会发生变化。
对上式进行莱布尼茨转换,可以获得下式:
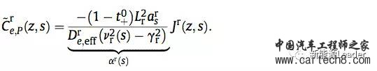
通过一系列的计算,上述模型的全部特解如下所示:
上式中的反应通量如下式所示:
对上述特解进行计算后,可得下式:
上述模型的全部解为:
因此,负极的解和它的梯度如下式所示:
隔膜的解和梯度如下式所示:
正极的解和梯度如下式所示:
最后Albert Rodríguez对模型中的常量进行了求解,得到如下矩阵等式,该矩阵可以通过人工倒转代换进行求解。
为了检验上述计算方法的准确性,Albert Rodríguez对其进行了验证,计算结果显示,在相同的计算精度下,参数变异法VOP的计算时间仅需要0.03s,而分离变量法SOV则需要116.75s,因此Albert Rodríguez提出的计算方法VOP,比传统的SOV计算方法速度提高了3800倍以上。 对于一个锂离子电池模型而言,在实际应用中不仅仅需要考虑到模型的准确性,还要考虑到计算的高效和快速,在实际中往往需要牺牲一定的计算准确性,而实现快速计算,Albert Rodríguez等通过计算方法的改进,在不降低计算的准确程度的前提下,降低模型的计算的复杂程度,极大的提高了计算的效率,具有非常好的应用前景。
|
文章网友提供,仅供学习参考,版权为原作者所有,如侵犯到
你的权益请联系542334618@126.com,我们会及时处理。
























会员评价:
共0条 发表评论