乘用车企业平均燃料消耗量与新能源汽车积分计算解析
不管怎么说,广大读者需要的,就是我们努力的方向,所以本文用最通俗易懂的方式,描述乘用车企业平均燃料消耗量与新能源汽车积分到底如何计算。
以下为文章全文:(本站微信公共账号:cartech8)

汽车零部件采购、销售通信录 填写你的培训需求,我们帮你找 招募汽车专业培训老师
不管怎么说,广大读者需要的,就是我们努力的方向,所以本文用最通俗易懂的方式,描述乘用车企业平均燃料消耗量与新能源汽车积分到底如何计算。 一、企业平均燃料消耗量(CAFC)积分如何计算 要知道企业平均燃料消耗量积分怎么算,首先我们要弄懂三个词:企业平均燃料消耗量的目标值、达标值和实际值。企业平均燃料消耗量目标值,按照《乘用车燃料消耗量评价方法及指标》(GB27999–2014)第5.2款计算;企业平均燃料消耗量达标值,是目标值与该核算年度的企业平均燃料消耗量要求的乘积;企业平均燃料消耗量实际值,按照《乘用车燃料消耗量评价方法及指标》第5.1款计算。而乘用车企业平均燃料消耗量积分,为该企业平均燃料消耗量的达标值和实际值之间的差额,与其乘用车生产量或者进口量的乘积。 请仔细阅读上文,并确定理解几个名词之间的逻辑关系。接下来,我们一起来看一看达标值、目标值和实际值具体如何计算。 1.企业平均燃料消耗量的目标值 企业平均燃料消耗量的目标值,按照《乘用车燃料消耗量评价方法及指标》(GB27999–2014)第5.2款计算,条款全文如下: 如下公式所示,企业在某年度需要达到的企业平均燃料消耗量目标值应依据4.2规定的车型燃料消耗量目标值,用该企业各车型燃料消耗量目标值与对应年度生产或进口量乘积之和除以该企业乘用车年度生产或进口总量计算得出:
以上公式中:i ———乘用车车型序号;Ti ———第i 个车型对应燃料消耗量目标值;TCAFC———企业平均燃料消耗量目标值;Vi ———第i 个车型的年度生产或进口量。 4.2规定的车型燃料消耗量目标值如下:
假设甲企业2019年生产或进口量汽车的情况如下:
上表中,整备质量(kg)、座椅数、生产或进口量(辆)为笔者假设的数值,对应的目标值根据4.2规定的车型燃料消耗量目标值填写。甲企业2019年生产或进口总量为1000+2000+1500+40000=44500。 根据以上数值,计算出甲企业2019年的企业平均燃料消耗量目标值(计算结果按四舍五入原则保留两位小数)如下:
2.企业平均燃料消耗量达标值 企业平均燃料消耗量达标值,是指该企业平均燃料消耗量目标值与该核算年度的企业平均燃料消耗量要求的乘积。 《乘用车燃料消耗量评价方法及指标》(GB27999–2014)第5.3款,企业平均燃料消耗量要求如下:
根据以上,计算出甲企业2019年的企业平均燃料消耗量达标值(计算结果按四舍五入原则保留两位小数)如下:
此外,双积分政策还规定,企业2016年度至2020年度平均燃料消耗量较上一年度下降6%以上的,其达标值在《乘用车燃料消耗量评价方法及指标》规定的企业平均燃料消耗量要求基础上放宽60%;下降3%以上不满6%的,其达标值放宽30%。 假设甲企业的2019年的平均燃料消耗量较2018年下降了5%,那么其达标值将放宽30%,甲企业放宽后的平均燃料消耗量达标值(计算结果按四舍五入原则保留两位小数)如下:
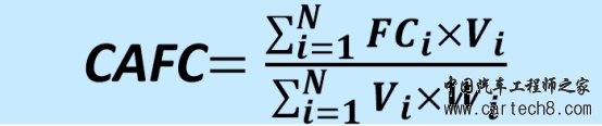
3.企业平均燃料消耗量实际值 乘用车企业平均燃料消耗量实际值,按照《乘用车燃料消耗量评价方法及指标》第5.1款计算,条款全文如下: 如下公式所示,企业在某年度的企业平均燃料消耗量用该企业各车型的燃料消耗量与对应的年度生产或进口量乘积之和除以该企业乘用车年度生产或进口总量计算得出:
以上公式中:i ———乘用车车型序号;FCi ———第i 个车型的燃料消耗量;Vi ———第i 个车型的年度生产或进口量;Wi ———第i 个车型对应的倍数。 5.1.2~5.1.4规定的车型倍数如下:
假设甲企业2019年生产或进口量汽车的情况如下:
| |||||||||||||||||||||||||||||||||||||||||||||||||||||||||||||||||||||||||||||||||||||||||||||||||||||||||||||||||||||||||||||||||||||











会员评价:
共0条 发表评论