至关重要的设计环节,高压电池系统绝缘检测(二)
常见的无源接地的电桥法的基本原理是在直流正、负端与地直接介入一系列电阻,通过电子开关或继电器切换接入电阻大小,测量不同接入电阻下正负端对地的绝缘电阻。
以下为文章全文:(本站微信公共账号:cartech8)

汽车零部件采购、销售通信录 填写你的培训需求,我们帮你找 招募汽车专业培训老师
常见的无源接地的电桥法的基本原理是在直流正、负端与地直接介入一系列电阻,通过电子开关或继电器切换接入电阻大小,测量不同接入电阻下正负端对地的绝缘电阻。
开关K断开时,得到下列方程:
开关K闭合时,同理得到另一个方程:
两个方程可以求解得到Rp、Rn。但是当Rp=Rn时,方程组无解。这里介绍一种改进的电桥,采用直流电压注入法。 考虑到在注入信号的情况下: (1)有直流系统的电流流入信号产生电路而干扰信号产生电路的正常工作,影响绝缘电阻的计算精度。 (2)直流注入信号产生电路选用拓扑简单且输入输出电器隔离的反激变换器,但是反激变换器功率场效应管开通瞬间存在较大的电流尖峰,产生电磁干扰,增加开关管的电流盈利,输出纹波电压较大。而且采用峰值电流控制方法时,可能导致开关管误动。 鉴于以上原因,可以只在电池开路情况下注入直流信号。高压直流信号是在电池总电压U过低或开路故障时,通过隔离变换器分别给正、负母线与地之间额外注入高压(例如700V)使得绝缘电测电路在正负母线不带电情况下也能计算绝缘电阻。
上图中,虚线框内为绝缘检测的采样电路和注入信号的产生装置。R1-R4是采样电阻,在前期开发实验中可以通过调整滑线变阻器阻值得到合适的采样信号,并将选定的电阻值用于最终电路的计算。注入信号产生部分由单片机输出PWM信号来控制场效应管的通断,在变压器的副边感应出700V的高压信号,在通过阻容滤波得到直流高压信号。其中,变压器采用输入输出隔离的反激变换器,输出滤波只需要一个滤波电容,不需要电感(体积和重量都太大)。尤其在高压输出时,避免高压电感和高持续流二极管。功率晶体管零点六开通,开通损耗小。而二极管零点六关断,可以不考虑反响恢复。其中,R为已知阻值的限流电阻。下面分别看正负母线带电、不带电的情况。 带电情况 此时信号产生电路不工作,则当S1/S2闭合,电路等效如下。
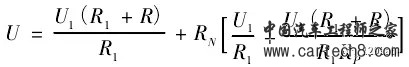
对电阻R1、R2进行电压采样,经过换算可得到正负端对地绝缘电阻上的电压Up、Un,两者之和等于总电压U。这里假设了在测量的很短时间内,Up、Un看作是不变的。 当S1闭合、S2断开时,电路等效如下:
从电路可以得到如下方程
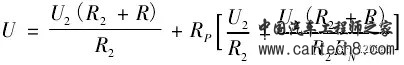
同理,在S1断开、S2闭合时,可以得到如下方程
以上可以求解得到绝缘电阻。完成上述的额绝缘电阻检测后,断开S1、S2,关闭PWM信号,等待下一跳指令。 不带电情况 当S1闭合、S2断开时,在正端注入PWM1信号,电路等效如下:
单片机注入PWM1信号后在R3产生高压信号,实际应用中可根据不同工况来改变PWM的占空比调节。假设采样电阻R3采样的电压为Ucc,由R1上采样电压换算得到的正对地绝缘电阻上的电压为U1’,则可以得到下列方程,求解得到Rp。
当S1断开、S2闭合时,同理在负端注入PWM2信号,也可以得到对应方程,求得Rn。最后,完成正负绝缘电阻的检测计算之后,断开S1/S2,关闭PWM信号,等待下一条指令。 参考 Active detection system of insulation resistance in electric vehicle |
文章网友提供,仅供学习参考,版权为原作者所有,如侵犯到
你的权益请联系542334618@126.com,我们会及时处理。
















会员评价:
共0条 发表评论