变频电机转动惯量如何测定呢?
转动惯量是指刚体绕轴转动时惯性(回转物体保持其匀速圆周运动或静止的特性)的量度,是衡量电机响应能力和灵活性的指标之一。其量值取决于物体的形状、质量分布及转轴的位置。可说是一个物体对于旋转运动的惯性。转动 ...
以下为文章全文:(本站微信公共账号:cartech8)

汽车零部件采购、销售通信录 填写你的培训需求,我们帮你找 招募汽车专业培训老师
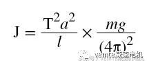
![]() 唯玛特减速机的变频电机转动惯量测定包括悬挂转子摆动法、空载减速法、辅助摆锤法,本文根据相关电机试验标准介绍变频电机这三种转动惯量测试方法的测试内容。 1、悬挂转子摆动法测定转动惯量 1. 单钢丝法测定转动惯量 采用单钢丝扭转摆动比较法测定电机转子的转动惯量。 选择密度均匀的金属制成假转子,假转子形状应为简单的圆柱体,以便能用式(1)较精确计算出假转子的转动惯量。假转子的质量应能将所选用的钢丝拉直且钢丝不变形。把假转子可靠地悬挂在长度l≥0.5m的钢丝一端,钢丝的另一端固定在支架上,钢丝轴线应与假转子轴线同心且垂直地面。 将假转子绕心轴扭转一个适当的角度,仔细测量往复摆动次数N及所需时间t(s),求得摆动周期平均值T’(T’=N/t)。被试电机转子在相同的条件下,重复上述试验,按上方法求得其摆动周期的平均值T,按式(2)计算被试电机的转动惯量J。 假转子的转动惯量J’(kg*㎡)由式(1)计算: ![]() ——(1) 式中: m——直径D部分的圆柱体质量,单位为千克(kg); D——圆柱体直径,单位为米(m)。 被试电机转子的转动惯量J(kg*㎡)按式(2)计算: ![]() ——(2) 式中: T——被试电机转子的摆动周期平均值,单位为秒(s); T’——假转子的摆动周期平均值,单位为秒(s)。 2、双钢丝法测定转动惯量 用两根平行的钢丝将被试电机转子悬挂起来,使其转轴中心线与地面垂直。扭转转子使其产生以轴线为中心的摆动。距转轴中心线的扭角应不大于10°。仔细测取若干次摆动所需的时间,求出摆动周期的平均值T。转动惯量J(kg*㎡)按式(3)求取: ![]() ——(3) 式中: l——钢丝的长度,单位为米(m); m——被试电机转子的质量,单位为千克(kg); g——重力加速度,单位为米每二次方秒(m/2^s); a——两钢丝之间的距离,单位为米(m)。 2、空载减速法测定转动惯量 此法用于测定功率为100kW以上上机的转动惯量。 VEMT减速机在试验时,使被试电机的转速升高并超过同步转速,然后,切断电源或脱开驱动机械,在1.1倍~0.9倍同步转速范围内,测定转速变化n(r/nin)所需的时间t(s)。转动惯量J(kg*㎡)按式(4)计算: ![]() ——(4) 3、辅助摆锤法测定转动惯量 此法用于测定具有滚动轴承电机的转动惯量。 将一个质量已知的辅助摆锤用质量尽可能小的臂杆固定于被试电机转轴端面中心上,摆锤臂杆应与轴线成直角。当转轴上带有皮带轮或半个联轴器时,也可用它们固定摆锤。 试验时,摆锤的初始位置与静止位置的偏移应不大于15°,在开始摆动后,测量2~3次摆动所需的时间,求出摆动周期的平均值。以摆锤通过静止位置的瞬间作为测量摆动周期的起始点。转动惯量J(kg*㎡)按式(5)计算: ![]() ——(5) 式中: m——辅助摆锤的质量,单位为千克(kg); r——辅助摆锤的重心到转轴中心线的距离,单位为米(m); T——辅助摆锤摆动周期的平均值,单位为秒(s)。 ![]() 对功率为10kw~1000kW的电机,选用辅助摆锤时,应使摆动周期3s~8s。为了校核,建议在摆锤质量略有不同的情况下重复进行测定。 |
文章网友提供,仅供学习参考,版权为原作者所有,如侵犯到
你的权益请联系542334618@126.com,我们会及时处理。













会员评价:
共0条 发表评论