Tesla 公式大全
Tesla 以20世纪初,塞尔维亚裔美国发明家、物理学家和工程师尼古拉·特斯拉而命名,以此致敬这位以交流电、异步电动机、特斯拉线圈而为世界作出极大贡献的伟人。
以下为文章全文:(本站微信公共账号:cartech8)

汽车零部件采购、销售通信录 填写你的培训需求,我们帮你找 招募汽车专业培训老师
Tesla 以20世纪初,塞尔维亚裔美国发明家、物理学家和工程师尼古拉·特斯拉而命名,以此致敬这位以交流电、异步电动机、特斯拉线圈而为世界作出极大贡献的伟人。而现在,以 Model S,Model X 和 Model 3为代表的 Tesla 高性能、智能电动车产品系列,则成为了现代物理学的集大成者,TA不仅展现了无数人类智慧的结晶,也因此成为了电动车中的“尖子生”。 今天,Tesla 为我们分享了一份公式笔记 TA用扎实的“理论知识”告诉我们 “学霸”原来是这样炼成的 ✏️📖
牛顿第二定律公式
为什么 Tesla 狂暴模式如此激情?为什么 Tesla 的加速如此线性?牛顿用他的力学第二定律表达式告诉我们,因为 Tesla 特殊设计的感应电机和永磁同步电机,可以绵绵不断地输出磅礴动力! ✏️📖
功率=电流乘以电压
为什么 Tesla 充电如此高效?目前,Tesla 超级充电桩可以通过 120kw 的速度给车辆进行充电;而为了带来更加便捷的充电体验,Tesla 将在今年底明年初开始在中国建设第三代超级充电桩,其峰值充电功率最高可达250kw,在这种充电速度下,Model 3长续航版在峰值功率环境中,5分钟所充电量可行驶75英里(约合120公里),等效于高达每小时1,000英里(约合1600公里)的充电速率。 ✏️📖
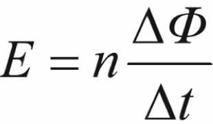
电磁感应定律
为什么 Tesla 动力如此强劲?其奥秘就是 Tesla 电动机所蕴涵的电磁感应定律,在该定律发展过程中,法拉第、楞次、麦克斯韦等科学家都做出了重要的贡献。拥有出色电动车产品的 Tesla,不但将此理论践行于交通行业之中,还将其推上了全新的高度。自诞生以来,Tesla 纯电行驶里程已超过了160亿公里。 ✏️📖
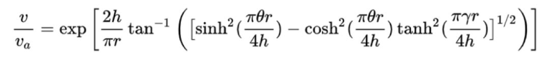
高速风阻计算公式
电动车在高速行驶时的能耗与动力系统的能源转换效率,以及风阻之间有什么样的关系?为什么 Tesla 的能耗水平在电动车中傲视同侪?一是先进的核心三电(电驱、电池、电控),二是出色的外观与整体设计,其中包括隐藏式门把手、轮毂盖等细节设计,都帮助实现了极低的风阻系数。例如,作为一款中大型豪华轿跑车,Model S 的风阻系数仅为0.24Cd。 ✏️📖
康达效应存在条件
回归事物的本质一直是 Elon Musk 所坚持的思想,而 Model 3 的内饰设计语言则是该思想最直观的体现之一。特别是 Model 3 隐藏式出风口——该设计巧妙地应用了康达效应:风从隐藏式出风口沿着中控台流出,吹向车内空间,既保证了整体视觉统一,又实现了良好的出风效果。 |
文章网友提供,仅供学习参考,版权为原作者所有,如侵犯到
你的权益请联系542334618@126.com,我们会及时处理。
















会员评价:
共0条 发表评论