空气动力学在造型设计中的体现
作者:小鹏汽车 近几年来,汽车工业发展迅速,整车空气动力学性能也越来越受到人们的重视,对汽油机来说,它关系到汽车的经济性
以下为文章全文:(本站微信公共账号:cartech8)

汽车零部件采购、销售通信录 填写你的培训需求,我们帮你找 招募汽车专业培训老师
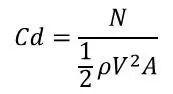
近几年来,汽车工业发展迅速,整车空气动力学性能也越来越受到人们的重视,对汽油机来说,它关系到汽车的经济性;对于电动车来说,它关系到电动车的续航里程。因此造型设计就变得尤为重要。本文从空气动力学的角度,介绍整车在进行外造型设计时需要注意哪些方面的问题。 汽车空气动力学设计 汽车空气动力特性 汽车的空气动力特性是指汽车在流场中所受到的以阻力为主的包括升力、侧向力的三个气动力及相应的力矩的作用而产生的车身外部和内部的气流特性、侧风稳定性、气动噪声等特性。其中,衡量车辆空气动力特性的指标主要为空气阻力系数,即Cd值。 其中:N—气动阻力,ρ—空气密度,V—车速,A—迎风面积。
空气动力学设计准则 在满足结构设计、美学、人体工程学的同时,降低气动阻力是汽车空气动力学的设计准则。汽车外造型设计时,应保证曲线的连续性、曲线曲率的连续性、以及线的曲率变化的连续性。通过外形的基本构思和空气动力学特性最佳处理这两个过程,巧妙地运用曲线的特性,在符合美学要求的前提下进行汽车的空气动力学设计。 “水滴形”为最佳的外造型设计,近几年来,汽车外造型越来越遵循这一规律。如下图中两辆车完全遵循了水滴形的设计理念。车头尖而扁,减小了前端的正向阻力;车身无棱角圆滑过渡,使气流能够较为顺畅的流动;车尾向内收缩,减小尾部涡流的影响区域。使整车的气动特性较好。 法拉利F430 风阻系数为0.19的奔驰概念车
造型设计注意事项 汽车外造型除了遵循“水滴”型设计(车头尖而扁、前风挡尽量向下躺平、尾部下压且向内收缩以及车身连续光滑过渡)外,设计过程中还需要考虑以下细节。 前脸 前脸的设计应确保曲线光滑过渡,尤其是雾灯和大灯的设计。有的车型为了使外观看起来更立体,前大灯较向外凸出,雾灯的台阶较高,使前端的气流无法顺利的向后方流动,增大前端正压区,影响空气动力学性能。雪弗兰的沃蓝达车型在雾灯和大灯设计上在此方面较好,台阶较低。 沃蓝达大灯与雾灯的设计 A柱 A柱与前风挡的台阶不要太高,否则不但影响风阻系数,还会产生较大噪声。
奥迪A柱与前风挡之间增加了密封条 后尾灯 后尾灯的设计对尾部气流的流动有很大的影响。后尾灯棱角分明,或者在尾灯上增加棱线,都能够提高空气动力学性能。 沃蓝达车型尾灯增加棱线 后扰流板 后扰流板开口或下压,可以提高整车的空气动力学性能。
2012款卡宴后扰流板开口设计 车辆在进行外造型设计时,应遵循“水滴形”的设计理念(车头尖而扁、前风挡尽量向下躺平、尾部下压且向内收缩以及车身连续光滑过渡);前后大灯、雾灯、A柱及扰流板的设计对整车空气动力学也会产生很大的影响。 |
文章网友提供,仅供学习参考,版权为原作者所有,如侵犯到
你的权益请联系542334618@126.com,我们会及时处理。













会员评价:
共0条 发表评论