发动机平衡轴到底有什么用?
作者:车辙 冠道和Type R的发动机是同款,能做到更平稳舒适是因为它上面多了两根平衡轴
以下为文章全文:(本站微信公共账号:cartech8)

汽车零部件采购、销售通信录 填写你的培训需求,我们帮你找 招募汽车专业培训老师
发动机平衡轴是啥我都不知道,你给我扯这个有卵用?相信不少人刚看到车辙君这篇推送文章标题时内心的独白是这样的,但请相信车辙君,没用的文章你在我们这里是绝对看不到的,不信吗?那就往下看。 前纽北最速前驱车本田思域Type R知道吧?新鲜出炉要干翻汉兰达的本田冠道知道吧?卧槽,原来冠道和Type R的发动机是同款,但冠道还多出了两根平衡轴,平衡轴的卵用你会不想知道? 10秒收割冠道发动机平衡轴作用:用于抵消直列四缸发动机二阶振动,能改善发动机的振动(车震)情况,让发动机运转更加平稳——>整车更加平稳舒适。 前些日子,本田冠道闪亮发布,车辙君也奉上了专场视频介绍(传送门在这里:《本田冠道为什么不凑7座SUV的热闹?》)。凭借那被奉为“秒杀同级”的2.0T涡轮增压发动机,冠道发布之初即收下了各大媒体的膝盖,可谓赚足了眼球。
对,这位就是打算干翻汉兰达的那个冠道
“看我这么凶,你肯定知道我就是曾经的最速前驱车——Type R了” 神马?冠道和Type R用的同款发动机?赶紧买买买!!! 且慢,Type R的发动机要快快快,而冠道的发动机除了快,更需要平稳舒适。难道你会拿冠道去跑纽北么……
为了让Type R那暴躁的发动机更平易近人,冠道的发动机上多了两根平衡轴。
平衡轴:“没错,就是我,快看过来” 对于平衡轴的过人之处,各大媒体纷纷介绍:“理想的直列四缸四冲程发动机主要存在二阶往复惯性力不平衡,为了抵消上述二阶往复惯性力,进一步提升发动机的运转平稳性,该2.0T发动机底部设计有两根旋转方向相反,转速为曲轴两倍的平衡轴。”
好了,平衡轴的卵用介绍完了,谢谢。 呃,如果还想进一步深入了解,以下开启烧脑模式_ “有什么力”——>“这力有什么影响”——>“怎么解决” 【烧脑一】发动机的往复惯性力 发动机通过曲柄连杆机构将活塞的直线运动转化为曲柄的旋转运动并输出扭矩。比如酱紫↓↓↓
烧脑来了:假设活塞在运动过程中连杆不摆动(摆动太复杂,待会说),则活塞与曲柄的运动关系会是酱紫↓↓↓
快看!活塞的行程公式为:
嗯,谢谢,刚好需要你求导。活塞的行程求导后可以得到活塞速度、加速度公式:
由于活塞、连杆一直拉着曲轴,他们这一上一下加速减速,曲轴都饱受摧残,曲轴可不干,他就把力传给了发动机缸体,于是就导致了发动机的抖动,即造成发动机往复惯性力。
“这种连杆不摆动的情况下,活塞、连杆的往复运动造成了发动机(一阶)往复惯性力——>引发车震”。 【烧脑二】直列四缸发动机的二阶振动 烧脑一说了“连杆不摆动”的情况,实际连杆怎么可能不摆动_
“一起摇摆”
“卧槽,我最讨厌物理题了” 欧耶,所以实际上活塞行程与连杆长度、曲轴半径之间的公式是酱紫的:
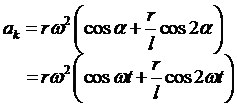
“我懂,你又要把我吓得求导然后得到活塞速度、加速度呗_” 聪明!答对了……一半。但这回在“吓得求导”之前,先要……
谢谢你的泰勒展开,再求导,可以得到活塞的加速度是酱紫↓↓↓
看到这个“2”了不?就是他,引起了发动机的二阶振动,你说2不2。
“连杆的摆动干扰了活塞的运动,进一步造成了发动机二阶振动——>引发不同姿势的车震”。 【烧脑三】平衡轴爆发的小宇宙 当发动机气缸数不止一个,气缸布置形式(直列、H、V、W)不同时,引发的振动就更加复杂了……
简单起见只说说冠道的直列四缸发动机情况,车辙君通过神(gong)机(shi)妙(tui)算(dao)
画出了下面这张很有卵用的图
这张图告诉我们,冠道的四个汽缸,它们的一阶往复惯性力两两相反,自己就抵消了;但是,二阶往复惯性力不仅没能抵消,反而是叠加的,越加越大!——>抖抖抖……
这时候,就需要平衡轴爆发小宇宙了,比如这另一张很有卵用的图↓↓↓
这张图告诉我们,在两边加两根平衡轴,能够抵消发动机二阶往复惯性力。至于为什么两根,因为两根平衡轴自身也需要平衡(所谓男女搭配干活不累,阴阳平衡就是这个道理)
“直列四缸发动机的一阶往复惯性力它自己就解决了;而二阶分量则需要通过设计巧妙的平衡轴来平衡”。 【题外话】三缸机平衡轴的作用 随着排放标准日益严苛,三缸发动机越来越受欢迎,这将引入往复惯性力矩(注意这里,加了个“矩”,和之前不一样哦)看看宝马是怎么通过平衡轴设计解决的↓↓↓
G“没有平衡轴,摇摆摇摆,一起摇摆”
G平衡轴:“我来了,你给我消停点” 综上:1、活塞等构件的往复运动导致往复惯性力,从而引起发动机振动;2、根据发动机气缸数量和布置形式的不同,发动机会出现更加复杂的往复惯性力(矩)不平衡,发动机振动情况也更加复杂;3、平衡轴的作用是通过平衡配重去平衡发动机的往复惯性力(矩),以衰减发动机的振动,让整车更加平稳舒适。 “完了,我车直列四缸发动机没有平衡轴啊,能加装么?” 对不起,不能。但如果你不想忍受发动机的抖抖抖,你也可以开它呀
|
文章网友提供,仅供学习参考,版权为原作者所有,如侵犯到
你的权益请联系542334618@126.com,我们会及时处理。
































会员评价:
共0条 发表评论