中国汽车工程师之家--聚集了汽车行业80%专业人士 

论坛口号:知无不言,言无不尽!QQ:542334618 

本站手机访问:直接在浏览器中输入本站域名即可 

位置:新能源车
国内外动力电池对比测试分析

国内外动力电池对比测试分析

10-5-2017 23:15 | liuxianglong | 捷能科技

捷能科技 目前国外以三元材料动力电池为主,国内磷酸铁锂和三元材料动力电池均有成熟产品对标测试研究表明,虽然三元材料能量密度优于磷酸铁锂材料,但国内较好的磷酸铁锂电池的能量密度也能达到143(Wh)/kg

专业人士解答:关于直流充电桩的11个技术问题

高斯宝电气 本文刊发武汉合康智能电气有限公司总工程师李顺章先生和“充电桩之芯”团队成员戴路加先生关于直流充电桩的11个技术问题的解答。

【干货】电动汽车主要驱动方式对比

【干货】电动汽车主要驱动方式对比

8-5-2017 20:26 | liuxianglong | 中国汽车工程研究院北京分院

中国汽车工程研究院北京分院 电动汽车作为一种工业产品,以电池为主要能量源,动力源全部或部分由电动机提供,涉及机械、电力电子、通信、嵌入式控制等多个学科领域。

基于全生命周期的能耗及排放对比分析

汽车节能技术 电动汽车的使用不仅降低了对石油能源的消耗,同时减少了环境排放,但这只是针对汽车的使用阶段而言,而未从全生命周期的视角去定量分析其对资源和环境造成的总体影响

想了解纯电动汽车?一定要读懂“电池能量密度”

AutoLab 这似乎就像在讨论心脏的跳动对于人体有多重要一般,一纯电动车,或者说的更标准一点,一辆电池动力车的性能、续航里程

浅析关于金属锂负极的机遇与挑战

浅析关于金属锂负极的机遇与挑战

7-5-2017 09:31 | liuxianglong | 新能源Leader

凭栏眺 在PVDF-HFP薄膜中添加TiO2纳米颗粒,能够抑制PVDF结晶,提高薄膜的离子电导率,同时该隔膜还能降低金属锂负极和聚合物电解质之间的阻抗。

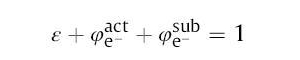
定量优化锂电池极片微观结构解析

mikoWoo 锂离子电池极片涂层可看成一种复合材料,主要由三部分组成:(1)活性物质颗粒(act);(2)导电剂和黏结剂相互混合的组成相(碳胶相,sub);(3)孔隙,填满电解液。

国产新能源黑马? 正道增程式轿车浅析

作者:杜庆炜 在2017年的上海车展上,全球首发的新车达到了113辆之多,在令人眼花缭乱的环车展上,位于7.1号馆的的正道汽车低调的展示着三款概念车。

聊聊关于EDU这件事!

聊聊关于EDU这件事!

4-5-2017 21:02 | liuxianglong | 电动汽车时代

金刚 首先,前面说了,EDU是电控驱动单元的意思,也就是其它驱动力通过它的控制,然后再传递输出。一般来说,并联及混联系统有两种及以上动力来源

秒懂BMS行业十大关键问题 厘清核心技术与发展趋势

电新深度观察 BMS的核心作用在保障动力电池安全和提高电池寿命,其技术并不能简单的用一两项指标来衡量,关键在BMS厂商的经验积累和对相应型号电芯性能的理解。

研究周报 | 如何让电池更安全?解析动力电池BMS控制策略的开发与测试

朱玉龙 第一,动力电池管理系统的设计依赖于动力电池的特性,不同的电池类型、不同的电池特性对应着不同的电池管理系统的软硬件设计;

数学模型助力三元锂电池充放电动力学分析

数学模型助力三元锂电池充放电动力学分析

4-5-2017 20:58 | liuxianglong | 高工锂电技术与应用

高工锂电技术与应用 锰酸锂三元材料混合的锂离子电池正极体系,相对于其它单一活性材。

分析PACK轻量化路线之电芯选择

分析PACK轻量化路线之电芯选择

4-5-2017 20:57 | liuxianglong | 捷能科技

捷能科技 随着动力电池系统相关标准和规范的制定,推动技术的发展,市场对动力电池系统的比能量要求也是越来越高,轻量化在动力电池系统的应用也是迫在眉睫。

【干货】解析电池管理系统的价值与实现

朱玉龙 简单而言,随着电动汽车行业的发展,我国也可能与德国VDA一样,推出汽车用锂电池标准,电池单体和模组的标准化势在必行。

浅析溶液浸入工艺制备全固态锂离子电池

新能源Leader 目前固态电解质主要分为两大类:无机陶瓷电解质和有机聚合电解质,这其中以硫化物固体电解质最具吸引力,因为其具有高的锂离子电导率(10-2S/cm)和良好的柔性特点

QQ|手机版|小黑屋|Archiver|汽车工程师之家 ( 渝ICP备18012993号-1 )

GMT+8, 22-3-2026 11:58 , Processed in 0.144879 second(s), 16 queries .

Powered by Discuz! X3.5

© 2001-2013 Comsenz Inc.